
研究背景
研究方法和研究结果
Onyx ONE Clear是一项前瞻性、多中心、非随机研究,评估在使用Resolute Onyx DES进行PCI治疗的HBR患者中,1个月DAPT后单个抗血小板药物治疗的安全性和有效性。主要终点指随访1个月至1年之间心血管死亡(CD)或心肌梗死(MI),数据分析是在预先指定的1个月“clear”人群中进行的,这些患者来自Onyx ONE RCT和Onyx ONE UN/Japan试验。1个月“clear”的定义为DAPT治疗依从性好,且在PCI后的第1个月内无重大不良事件发生。
研究结果
在参加Onyx ONE UN/Japan研究 (n=752)和Onyx ONE研究(n=1018)的患者中,1506例患者符合上述1个月的“clear”标准。平均每个患者HBR特征为1.6,其中44.7%有多重风险。

在2个月后,96.9%患者使用单药抗血小板治疗(其中57%服用阿司匹林,43%服用P2Y12)或合并口服抗凝剂,1年后89.3%的患者使用单药抗血小板治疗。

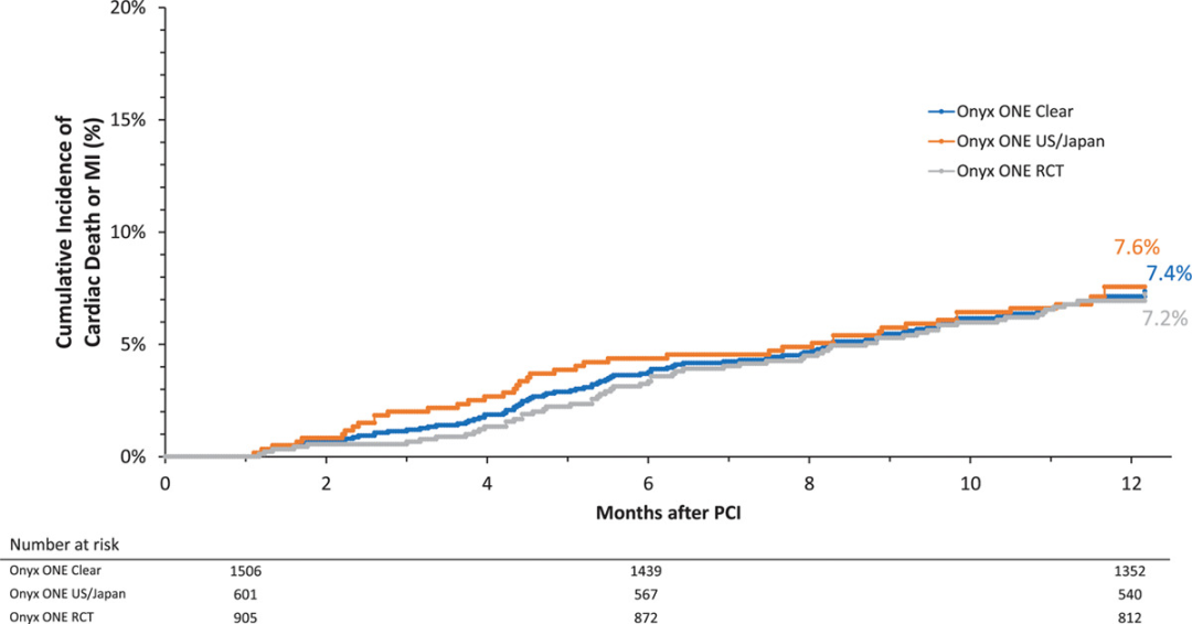
1个月至1年期间,主要终点的发生率为7.0%,单边97.5% CI为8.4%,低于9.7%的目标(P<0.001)。Kaplan-Meier分析显示,在整个Onyx ONE Clear、Onyx ONE US/Japan和Onyx ONE RCT队列中,CD或MI的比率相似。在1 - 6个月期间,CD或MI的总体发病率为3.7%,随访1年时,Onyx ONE RCT和Onyx ONE US/Japan研究中分别为6.9%和7.1% (P=0.92)。

从1个月到1年的主要的次要终点包括TLR(3.4%)、死亡(6.0%)、靶病变失败(8.1%)和学术研究联盟定义的支架内血栓 (0.7%)。出血学术研究联盟(BARC)定义的出血,BARC 1-5级出血发生率为13.1%,BARC 2-5级出血发生率为11.7%,BARC 3-5级出血发生率为4.0 %。
亚组分析中比较了1年几个基线特征中CD或MI发生率的差异。例如,在急性冠状动脉综合征患者、伴有并发症(如糖尿病和肾功能衰竭)患者或复杂病变/支架较长的患者中,主要复合终点的发生率较高。

研究结论
使用Resolute Onyx DES进行PCI治疗,在DAPT停药1个月前无事件发生的HBR患者中,DAPT治疗1月后采取单一抗血小板药物治疗具有良好的安全性和有效性。对于HBR患者,为缩短PCI后DAPT治疗时程,选择植入佐他莫司药物洗脱支架可作为个体化策略的一部分。
参考文献:
David E. Kandzari,, Ajay J. Kirtane, Stephan Windecker,etal.One-Month Dual Antiplatelet Therapy Following Percutaneous Coronary Intervention With Zotarolimus-Eluting Stents in High-Bleeding-Risk Patients. Circulation: Cardiovascular Interventions.2020;13:e009565