OCC 2021丨领航者对话:RESTORE DCB最新循证数据与临床实践结果发布

2021年5月29日,在第十五届东方心脏病学会议(OCC 2021)上,一场领航者的对话,不仅披露了RESTORE DCB最新的循证数据,也让大家看到了药球研发背后的技术与未来的发展方向,更让“介入无植入”的理念深入人心。本次会议由复旦大学附属中山医院姚康教授担任主持人,上海远大心胸医院张大东教授、上海交通大学医学院附属瑞金医院张瑞岩教授、北京大学第三医院唐熠达教授、郑州大学第一附属医院邱春光教授、哈尔滨医科大学附属第二医院候静波教授、皖南医学院弋矶山医院柯永胜教授共同参与了这场引领行业新常态的领航者对话。

01

最新的循证数据,

给予临床更精准的指导

2020年发表于JACC的一篇文章显示,DCB正在成为一种新的PCI治疗策略,尤其是在支架内再狭窄和原发/de novo小血管病变患者中。早在2018年发布于JACC介入子刊的RESTORE China ISR/SVD系列研究结果就证实了RESTORE在支架内再狭窄和小血管病变中的疗效,与主流DCB或DES疗效相当。2020年发布的RESTORE SVD China-QFR研究结果,则证实了DCB在小血管病变中应用的长期功能学结果与DES相似。2021年5月最新发布的RESTORE ISR China-QFR研究则为DCB在支架内再狭窄患者中的应用疗效增添了有力证据,结果显示,DCB术后QFR=0.9为cut-off值,对于支架内复发再狭窄有较好的预测效果。

1. RESTORE ISR China研究

RESTORE ISR China研究是由12家医学中心参与的前瞻性、多中心、随机对照、非劣效试验,试验组为RESTORE DCB组(N=120),对照组SeQuent Please DCB组(N=120),主要终点为9个月节段内晚期管腔丢失。研究主要终点结果显示,RESTORE DCB与SeQuent Please DCB QCA结果无统计学差异(0.38 vs. 0.35,P=0.02)。2年随访结果显示,RESTORE DCB与新普力DCB治疗DES-ISR的临床疗效与安全性相当(靶病变失败发生率为14.8%VS.15.0%,P=1.0;靶血管心梗发生率为3.5%vs.3.5%,P=0.37)

2. RESTORE SVD China研究

RESTORE SVD China研究同样是由12家医学中心参与的前瞻性、多中心、随机对照、非劣效试验。研究共计入组262人,分为两个队列:小血管(参考血管直径2.25mm-2.75mm)Cohort入组230人,极小血管(2.00mm-2.25mm)cohort入组32人。小血管组采用随机对照研究,实验组为RESTORE DCB组(N=116),对照组为Resolute药物支架组(N=114);极小血管cohort采用单组注册研究。研究的主要终点是9个月节段内支架狭窄率。

RESTORE SVD China研究主要终点结果显示,RESTORE DCB与 RESOLUTE Integrity DES效果相当(直径狭窄率为29.6%vs.24.1%,晚期管腔丢失为0.25 vs. 0.27, P<0.001);3年随访结果显示,RESTORE DCB与 RESOLUTE Integrity DES治疗小血管病变的临床疗效与安全性相当。

3. RESTORE ISR/SVD China-QFR研究设计

RESTORE ISR/SVD China-QFR研究是一项基于RESTORE ISR China和RESTORE SVD China的亚组分析,通过测量分析术前、术后即刻,以及术后9个月的QFR分数,来评价QFR应用于预测DCB治疗DES-ISR、De-novo(小血管)预后的有效性。

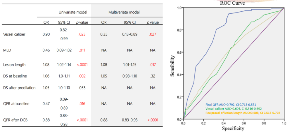
RESTORE ISR China-QFR研究将RESTORE ISR China试验中208名患者分为了两组,复发再狭窄组(43例患者,49处病变)和非复发再狭窄组(165例患者,177处病变),研究结果显示,DCB术后QFR以0.9为cut-off值,对于支架内复发再狭窄有较好的预测效果。

RESTORE SVD China-QFR主要针对的是小血管(2.25-2.75mm)cohort的亚组分析,研究结果(术后9个月随访)显示,RESTORE DCB与 RESOLUTE Integrity DES病变节段的定量血流储备分数(QFR)评价结果相当(P=0.12),两组的长期功能学结果相似。QFR与2年TLF(靶病变失败)的关系显示,随访QFR或QFR Loss与TLF事件率具有较好的一致性;随访QFR与QFR Loss预测两年的TLF的AUC均为0.82。

图1. RESTORE ISR China-QFR子研究结果

 图2. RESTORE SVD China-QFR研究结果

02

进行中的RESTORE Bifurcation China和HYPER Study,

结果同样令人期待

据悉已进入QCA+QFR分析阶段的HYPER Study是一项前瞻性、非随机、观察性的多中心研究,目的是评价RESTORE DCB+DES联合应用策略对原发弥漫病变的疗效,正式的研究结果将于2022年对外公布!

另一项正在进行中的RESTORE Bifurcation China研究是一项前瞻性、比较药物涂层球囊策略与药物洗脱支架策略在治疗冠状动脉真性分叉病变中有效性与安全性的随机对照临床研究,相信结果同样值得期待!

03

领航对话:

提升创新产品可及性,让更多患者获益 

唐熠达教授在演讲中指出,RESTORE China系列研究包括支架内再狭窄和小血管病变,是基于中国临床的高质量研究,证实了RESTORE DCB的有效性和安全性,也让其拥有了支架内再狭窄和小血管病变(血管直径≥2.0mm且≤2.75mm)两个适应证。而精准诊断与DCB的结合,则可以更精准地指导与优化复杂病变及特殊患者(如合并糖尿病、高出血风险、ACS等)的临床治疗。

唐熠达教授在线上进行主题演讲

邱春光教授在讲述RESTORE DCB的前世今生时表示,理想的药物涂层球囊需要同时具备有效性、安全性和易用性。而DCB的赋形剂开发经历了从无基质到亲水性、亲脂性以及亲脂亲水性载药基质,不断探索更加安全、有效的赋形剂材料。DCB的药物释放技术也在不断改进,全新一代药物涂层球囊RESTORE DCB采用的SAFEPAX专利技术能够平衡药物释放吸收与冲刷丢失,兼顾有效性、安全性与易用性。邱教授还透露下一代DCB将在新型药物、赋形剂与涂层技术方面进行不断探索,相信未来会取得更新的突破。

邱春光教授在线上讲述RESTORE DCB的前世今生

专家从左到右:姚康教授、张瑞岩教授、张大东教授、候静波教授、柯永胜教授发布会现场进行讨论,邱春光教授远程参与讨论(电子屏)

姚康教授在主持时表示,大部分介入医生从开始接触介入治疗,就是从支架开始的,所以总认为介入治疗就是植入支架。其实,最早的介入手术是从球囊开始的,如今药物球囊在临床上的应用得到了很多人的认可。且随着临床实践经验以及循证医学证据的积累,未来药物球囊在临床上的应用只会越来越多。然而,对于药物球囊应用的适应证,如何平衡风险与效益,药物球囊到底是一种新的技术还是一种新策略等等这些问题,还需要大家进行更多更深入的探讨。

张大东教授表示,从介入治疗的发展历史看,最早的介入手术就是应用球囊扩张技术,后面才发展到裸金属支架、药物洗脱支架,现在药物球囊的出现,也是将普通球囊成形技术(POBA)与药物洗脱技术结合。从DCB的应用机制角度考虑,是将抑制细胞增生的药物附着在球囊表面,膨胀过程中将球囊上的药物输送到病变局部血管壁内,达到抑制平滑肌细胞增生的作用,防止血管再狭窄,应用DCB进行治疗,可以避免异物的置入,是介入治疗最理想的状态。

瑞岩教授特意分享了瑞金医院做的第一例介入手术的情况。患者前降支病变,当时使用的就是球囊技术,25年后,对患者进行随访造影检查发现,患者的恢复情况非常好。如今丰富的临床证据已经证明了 DCB 处理支架内再狭窄与小血管病变时具有良好疗效。然而,无论是在多年前还是现在,应用球囊技术,最关键的都是要进行充分的预扩张,尤其要注意压力的选择,要防止严重夹层的出现。因此,为了获得更好地临床治疗效果,影像学工具的应用不可或缺。

候静波教授说:“没有完美的细节只有最聪明的医生”,在给患者选择治疗方案的时候,医生应该思考的是如何在兼顾安全性和有效性的前提下,选择一个对患者来说预后最好的治疗手段。所谓的“介入无植入”并不能一概而论,最重要的还是要评估患者的获益情况。当然,临床实践中,对于DCB的应用也不能过于小心或过于极端,要么都不用,要么全部用。最重要的还是要选择合适的患者,如果充分的预扩张之后,没有出现明显的急性闭塞,且远期的管腔丢失也比较少,那么选用DCB治疗肯定是非常好的策略。侯教授强调,如何筛选合适的患者,一是与术者的谨慎操作有关,另外就是影像学工具的应用指导。可以说,影像学工具是DCB临床应用不可缺少的“保驾护航”工具。未来,还是希望能够有更多的循证医学数据的支持,尤其是我们中国自己的临床数据。

柯永胜教授表示,药物球囊属于一种新的治疗策略,随着技术的发展,现在DCB的运输工具也变得更好。柯教授早些年接收到一位患者,该患者前后做了3次PCI手术,共计植入4枚支架后,又再次发生了狭窄,已经没办法再植入支架了,此种情况下考虑了药物球囊治疗,最终在影像学工具的指导下用了2个药物球囊进行了干预治疗,患者目前的恢复情况非常好。柯教授特别强调,应用药物球囊,必须要保证患者的安全,一定要进行充分地预处理,尤其是影像学工具的应用,是必不可少的。未来对于DCB适应证的扩张,还需要大家不断地努力,积累更多的临床数据,才能更好地实现“介入无植入”的理念。

相信随着“介入无植入”理念被更多的人接受和重视,以及大量临床研究和循证数据的支持,DCB技术将惠及越来越多的患者。无论是理念的提升,还是技术的变革,创新带来的终将是患者获益!

阅读数: 434